• Annual Research Reviews
    • NW Cherry and Stone Fruit Research Review
    • Technology Research Review
    • Apple Crop Protection Research Review
    • Apple Horticulture & Postharvest Research Review
    • NW Pear Research Review
  • Requests for Proposals
    • Active Requests for Proposals
    • Past RFP’s
  • About Us
    • Commissioners
    • Staff
    • Interns
    • Committees
    • Technology Roadmap
    • WSU Tree Fruit Endowment
    • Procurement Forecast Report
    • Sitemap
  • Contact
  • Annual Research Reviews
    • NW Cherry and Stone Fruit Research Review
    • Technology Research Review
    • Apple Crop Protection Research Review
    • Apple Horticulture & Postharvest Research Review
    • NW Pear Research Review
  • Requests for Proposals
    • Active Requests for Proposals
    • Past RFP’s
  • About Us
    • Commissioners
    • Staff
    • Interns
    • Committees
    • Technology Roadmap
    • WSU Tree Fruit Endowment
    • Procurement Forecast Report
    • Sitemap
  • Contact
  • Proposal Process, Instructions and Documents
  • Research Database
  • Upcoming Events

Assessing refugia plantings for biocontrol services

Author: RT Curtiss

Published: 2026

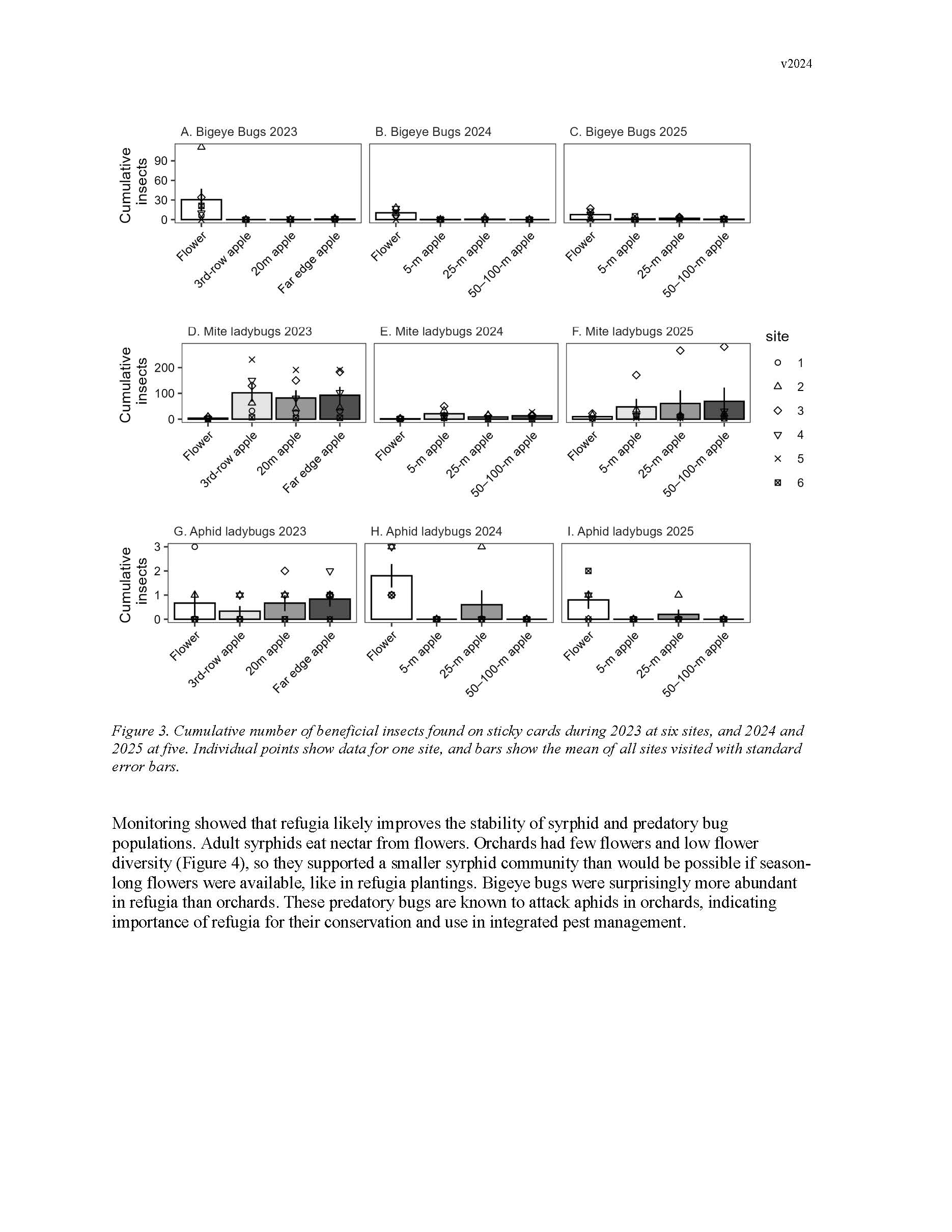
Summary: The results indicate that refugia are heavily used by syrphid flies, which are important aphid predators. There was not clear evidence that other beneficial taxa were utilizing refugia en masse or spilling over into neighboring orchards. The same is true of pests; there was no evidence that these refugia are pest sources or contribute to pest outbreaks. However, pollinators greatly benefitted from these refugia, and there were significant positive effects to their populations. All objectives were completed by the end of 2025. Three years of insect sampling were conducted, and samples were quantified. Technical staff are now trained for sampling procedures and for identification of beneficial insects on sticky cards for future projects. Findings are in the process of being published in peer reviewed journals as of the writing of this report. The previous lead investigator, Orpet, left Washington State University to Oregon State University January 1, 2025, so the lead role was passed to RT Curtiss for the final year of the project. Curtiss oversaw project administration. Sampling and insect quantification was managed by Luppino, who filled this role in previous years. Orpet stayed as a co-PI to assist with administration and data analysis.

Keywords:

  • Apple
  • Biocontrol
  • Refugia
Download PDF

Download PDF

© 2016-2018 Washington Tree Fruit Research Commission. All Rights Reserved.